Misión      Valores      Principal

CASO ADQUISICIÓN MAQUINARIA

 

El ejecutivo de una fabrica propone adquirir una prensa, cuyo costo es de $2 millones; el dinero necesario puede ser adquirido mediante un préstamo del banco ABC, el cual exige le sea cancelado en pagos mensuales uniformes, durante 3 años con un interés del 36% CM.  La prensa tiene una vida útil de 3 años y un valor de salvamento de $400.000, se espera que la prensa produzca ingresos mensuales de $83.000.  Si el inversionista espera ganarse una tasa del 42% CM ¿Debe adquirirse la prensa?

Respuesta: VPN = -$58.719.16 No adquirir

 

Procedimiento: Para este ejercicio se pueden aplicar anualidades vencidas o acudir a la hoja electrónica Excel.

 

  • Se conoce el monto del crédito, número de cuotas a cancelar, tasa nominal de interés.  No se conoce el valor de la cuota o anualidad a pagar.

  • Se calcula el monto de la cuota a pagar o anualidad, así:

 

                                         

 

Donde:

 

C: Monto del crédito = 2.000.000

i= tasa de interés periódica = 0.03 = 3%

n= número de periodos = 36

 

  • Los 2 millones de pesos se pagarán en 36 cuotas mensuales de $91.607.58 a una tasa mensual del 3%.  Cada cuota constituye una salida de efectivo

 

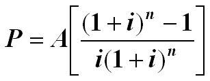
Valor presente neto de una anualidad vencida (el caso no dice que se anticipada):

 

Donde:

 

P= valor presente

A = Anualidad  (cuota del crédito o ingreso mensual)

i= Tasa de interés periódica (3.5% mensual que equivale al 42% CM)

n= Número de periodos

 

Importante tener en cuenta que i es igual a la tasa interna de oportunidad del inversionista:

 

0.42 ÷ 12 = 0.035 x 100 = 3.5%

 

Existen 36 ingresos mensuales de efectivo, cada uno de $83.000. 

Existen 36 pagos (salidas) mensuales de efectivo, cada uno de $91.607.58

 

Al despejar la ecuación P= $1.684.110,986 para los ingresos.

Al despejar la ecuación P= $1.858.763,205 para los pagos o salidas.

 

Valor presente de una suma futura como es el caso del valor de salvamento:

 

  • En el mes 36 se recibe un ingreso por $400.000 como valor de salvamento de la máquina.

 

P= VF ÷ (1+i)n    = 115.933.08

 

Donde:

P = valor presente

VF = valor de salvamento

n = número de periodos

 

DECISIÓN FINAL

 

Para determinar si el proyecto es viable, se acude al criterio del valor presente neto así:

 

  • Se trae a valor presente las anualidades correspondientes a los ingresos

  • Se trae a valor presente las anualidades correspondientes a las salidas de efectivo

  • Se trae a valor presente el valor de salvamento que se recibirá en el periodo 36.

 

Valor presente de los ingresos de efectivo es igual a:     $1.684.110,986

Valor presente del valor de salvamento:                       $   115.933,0866

Valor presente de las salidas de efectivo es igual a:       $1.858.763,205

 

Se suman el valor presente de los ingresos, el valor presente del valor de salvamento y se resta el valor presente de las salidas de efectivo:

 

Resultado Valor Presente = - $58.719.13

 

Como el Valor Presente es negativo, el proyecto no se debe realizar.

Página Principal   Otras herramientas financieras para PyMES

Para más información encuéntrenos en:

 

Ibagué (Tolima)

Celular:  300 767 68 02

direccion@pymesfuturo.com

 

Copyright © 2006 [José Didier Váquiro C. ]. Reservados todos los derechos.
Revisado: 11 de September de 2024 .